Covid, a Napoli cresce più velocemente rispetto alla Campania: i dati per zone, età e sesso
Ott 14, 2020 - Cinzia Esposito
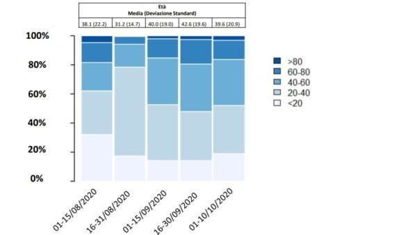
A partire dal 1 agosto, come atteso, è stata osservata una seconda ondata di contagi da COVID-19. La città di Napoli ha una velocità di crescita superiore rispetto a quella Regionale. La media dell’età cresce progressivamente con l’aumento dei contagi (il contagio si trasferisce dai soggetti giovani agli anziani).
”Questo studio è frutto del lavoro della task force istituita da me e dall’assessore Francesca Menna, visto che dall’Unità di crisi regionale non ci arrivano dati puntuali”. Così il sindaco di Napoli, Luigi de Magistris, ha spiegato lo studio realizzato che mappa la diffusione del virus in città. Un’analisi che è partita dai ”dati freddi” che arrivano dalla Regione Campania e che è stata resa possibile incrociandoli con ulteriori banche dati a cui ha accesso l’amministrazione.
Uno studio che – ha sottolineato il sindaco de Magistris – ”ci servirà per poter valutare la situazione ed eventualmente prendere anche misure a nostra volta specifiche”.
Il grafico identifica quattro diverse zone a rischio in relazione alla prevalenza cumulativa e all’incremento percentuale nei periodi considerati. Nell’ultimo periodo esaminato (4-10 ottobre), le Municipalità sono così distribuite:
– Zona verde: “area fredda” (Municipalità 5 – 10) caratterizzate da bassa prevalenza cumulativa dei contagi e da un incremento percentuale non significativo (il Vomero si conferma una municipalità a basso incremento)
– Zona arancione: “area in corso di riscaldamento” (Municipalità 6, 8 e 9) con prevalenza bassa dei contagi ma con un incremento percentuale in aumento. Rispetto alla prima ondata nelle Municipalità Chiaia , Posillipo e Centro Storico (Avvocata – Montecalvario) si osserva un minore incremento di contagi.
– Zona gialla: “area in corso di raffreddamento” (Municipalità 1, 2) caratterizzata da un’alta prevalenza dei contagi con riduzione dell’incremento percentuale.
– Zona rossa: “area calda” (Municipalità 3,4,7) caratterizzata da alta prevalenza dei contagi e alimentata dall’elevato incremento percentuale dei casi.
– Nei cartogrammi 7 – 10 è rappresentata la distribuzione del contagio totale e nel periodo 4-10 Ottobre per quartiere e per 10.000 ab.





Giuseppe Signoriello*, Simona Signoriello*, Vittorio Simeone * Unità di Statistica Medica, Università degli Studi della Campania “Luigi Vanvitelli”.
